登录-栖凤楼论坛,威客小姐网全国楼凤,栖凤阁论坛官网入口,广州一品香论坛地址

电子元器件检测中心:失效模式和效果分析

日期:2021-08-23 13:55:14 浏览量:3753 标签: 失效分析

电子元器件产业作为电子信息产业的基础力量, 更是新时代发展革新的重点。中国电子元器件的发展过程是从浅到深、从少到多, 直到累积一定程度, 才获取优异成绩。据统计, 当前我国电子元器件行业总产值大约占据电子信息产业的百分之二十,电子元器件产业也成为引导我国电子信息产业持续发展的基础内容。所以,电子元器件的失效分析成为其中很重要的部分。    

1.失效分析的概述  

可靠性工作的目的不仅是为了了解、评价电子元器件的可靠性水平,更重要的是要改进、提高电子元器件的可靠性。所以,在从使用现场或可靠性试验中获得失效器件后,必须对它进行各种测试、分析,寻找、确定失效的原因,将分析结果反馈给设计、制造、管理等有关部门,采取针对性强的有效纠正措施,以改进、提高器件的可靠性。这种测试分析,寻找失效原因或机理的过程,就是失效分析。  失效分析室对电子元器件失效机理、原因的诊断过程,是提高电子元器件可靠性的必由之路。元器件由设计到生产到应用等各个环节,都有可能失效,从而失效分析贯穿于电子元器件的整个寿命周期。因此,需要找出其失效产生原因,确定失效模式,并提出纠正措施,防止相同失效模式和失效机理在每个元器件上重复出现,提高元器件的可靠性。  

归纳起来,失效分析的意义有以下5点:  

(1) 通过失效分析得到改进设计、工艺或应用的理论和思想。

(2) 通过了解引起失效的物理现象得到预测可靠性模型公式。

(3) 为可靠性试验条件提供理论依据和实际分析手段。  

(4) 在处理工程遇到的元器件问题时,为是否要整批不用提供决策依据。

(5) 通过实施失效分析的纠正措施可以提高成品率和可靠性,减小系统试验和运行工作时的故障,得到明显的经济效益。

2.失效的分类  

在实际使用中,可以根据需要对失效做适当的分类。

按失效模式,可以分为开路、短路、无功能、特性退化(劣化)、重测合格;

按失效原因,可以分成误用失效、本质失效、早期失效、偶然失效、耗损失效、自然失效;

按失效程度,可分为完全失效、部分(局部)失效;

按失效时间特性程度及时间特性的组合,可以分成突然失效、渐变失效、间隙失效、稳定失效、突变失效、退化失效、可恢复性失效;

按失效后果的严重性,可以分为致命失效、严重失效、轻度失效;

按失效的关联性和独立性,可以分为关联失效、非关联失效、独立失效、从属失效;

按失效的场合,可分为试验失效、现场失效(现场失效可以再分为调试失效、运行失效);

按失效的外部表现,可以分为明显失效、隐蔽失效。    

3.失效机理与失效模式  

电子元器件的失效主要是在产品的制造、试验、运输、存储和使用等过程中发生的,与原材料、设计、制造、使用密切相关。电子元器件的种类很多,相应的失效模式和机理也很多。失效机理是器件失效的实质原因,说明器件是如何失效的,即引起器件失效的物理化学过程,但与此相对的是它迟早也要表现出的一系列宏观性能、性质变化,如疲劳、腐蚀和过应力等。我们可以根据不同的失效机理确定相应的失效模型,对电子元器件进行失效分析。从现场失效和试验中去收集尽可能多得信息(包括失效形态、失效表现现象及失效结果等)进行归纳和总结电子元器件的是失效模式,分析和验证失效机理,并针对失效模式和失效机理采取有效措施,是不断提高电子元器件可靠性水平的过程。

电子元器件的主要失效机理有:     

(1)过应力(EOS):是指元器件承受的电流、电压应力或功率超过其允许的最大范围。     

(2)静电损伤(ESD):电子器件在加工成产、组装、贮存以及运输过程中,可能与带静电的容器、测试设备及操作人员相接触,所带静电经过器件引脚放电到地,使器件收到损伤或失效。

(3)闩锁效应(latch-up):MOS电路中由于寄生PNPN晶体管的存在而呈现一种低阻状态,这种低阻状态在触发条件去除或终止后仍会存在    

(4)电迁移(EM):当器件工作是,金属互联线内有一定的电流通过,金属离子会沿导体产生质量的运输,其结果会使导体的某些部位出现空洞或晶须。    

(5)热载流子效应(HC):热载流子是指能量比费米能级大几个kT以上的载流子。这些载流子与晶格不处于热平衡状态,当其能量达到或超过Si-SiO2界面势垒时(对电子注入为3.2eV,对空穴注入为4.5eV)便会注入到氧化层中,产生界面态、氧化层陷阱或被陷阱所俘获,使氧化层电荷增加或波动不稳,这就是热载流子效应。     

(6) 栅氧击穿:在MOS器件及其电路中,栅氧化层缺陷会导致栅氧漏电,漏电增加到一定程度即构成击穿。     

(7)与时间有关的介质击穿(TDDB):施加的电场低于栅氧的本征击穿强度,但经历一定的时间后仍会发生击穿现象,这是由于施加应力的过程中,氧化层内产生并聚集了缺陷的原因。   

(8)由于金-铝之间的化学势不同,经长期使用或200以上的高温存储后,会产生多种金属间化合物,如紫斑、白斑等。使铝层变薄、接触电阻增加,最后导致开路。在300高温下还会产生空洞,即柯肯德尔效应,这种效应是高温下金向铝中迅速扩散并形成化合物,在键合点四周出现环形空间。使铝膜部分或全部脱离,形成高阻或开路。    

(9)“爆米花效应”:塑封元器件塑封材料内的水汽在高温下受热发生膨胀,使塑封料与金属框架和芯片间发生分层效应,拉断键合丝,从而发生开路失效。失效模式是指失效的外在直观失效表现形式和过程规律,通常指测试或观察到的失效现象、失效形式,如开路、短路、参数漂移、功能失效等。产品的失效依据其是否具有损伤的时间累积效应而被分为“过应力型失效”和“损耗型失效”,所以,与时间相关的失效模型定量地描述了产品随时间的损伤积累状况,在宏观上表现为性能或是参数随时间的退化。

常用的失效模型有:

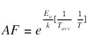
(1) 阿列尼乌兹模型:阿列尼乌兹模型定量地给出化学反应速率与温度的关系,所以,如果一个产品的失效过程取决于这样的一个化学,则阿列尼乌兹模型 就给出了产品的寿命,反应环境温度T(绝对温度)下的产品寿命t.jpg,其中,C为常数;Ea为化学反应的激活能。建立在这一模型基础上的加速因子AF则为:AF.jpg,这里,Tacc为加速条件下的温度。     

(2) 艾林模型:艾林模型与阿列尼乌兹模型相比可以考虑温度以外更多类型的应力的影响,同时,潜在地可以考虑这些不同类型应力之间的相互作用。   

电子零件检测中心:失效模式和效果分析

4.失效分析技术  

失效分析技术是失效分析说使用的手段和方法,它主要包括六大方面的内容:失效定位技术;样品制备技术;显微分析技术;应力验证技术;电子分析技术;成份分析技术。

1、失效定位技术  

失效定位技术的主要目的是确定检测目标的失效部位,随着现代集成电路及电子元器件的复杂化,失效定位技术就显得尤为重要。失效定位技术有多种方法,其中无需开封即可进行的无损检测有X-ray,SAM等。X-ray可用于观察元器件及多层印刷电路板的内部结构,内引线开路或短路,粘接缺陷,焊点缺陷,封装裂纹,空洞、桥连、立碑及器件漏装等缺陷。SAM则可观察到材料内部裂纹,分层缺陷,空洞、气泡、空隙等。若X-ray,SAM不能探测到失效部位,则需要对元器件进行开封处理,而后可进行其他方法的失效定位,如显微检查。  

2、 样品制备技术

解决大部分失效分析,都需要采用解剖分析技术,即对样品的剖层分析,它不对观察和测试部分存在破坏。样品的制备步骤一般包括:打开封装、去钝化层,对于多层结构芯片来说,还要去层间介质。打开封装可以使用机械开封或化学开封方法。去钝化层可使用化学腐蚀或等离子体腐蚀(如ICP、RIE)的方法,或FIB等。  

3、 显微分析技术   

失效原因的分析,失效机理的确定及前文提到的失效定位都要用到显微分析技术。显微分析一般采用各种显微镜,且他们各具优缺点,如景深大成像立体感强的体视显微镜;平面成像效果好颜色突出的金相显微镜;放大倍数高(可达几十万倍)的SEM;制样要求高可观察到晶格结构的TEM;成像精度不高但操作方便的红外显微镜;成像精度较高的光辐射显微镜等,要根据实际情况进行设备和方法的选择。  

4、 应力验证技术  

电子元器件在不同的环境中可靠性存在差异,如不同湿度、温度下产生的应力,不同电流、电压下产生的电应力等,都会导致电子元器件性能的变化,或失效。因此,可以模拟各种环境参数,来验证元器件在各种应力下的可靠性。  

5、 电子分析技术  

利用电子进行失效分析的方法很多,如EBT,EPMA,SEM,TEM,AES等。  

6、 成份分析技术  

需要确定元器件中某部分的成份和组份即需要用到成份分析技术,以判断是否存在污染,或组份是否正确,而影响了元器件的性能。常用设备有EDS,EDAX,AES,SIMS等。

失效发生的环节有开发、生产、工程等阶段,失效信息的汇集部门也相应地存在于多个部门。如果没有及时地将失效信息反馈至失效分析部门,势必影响失效分析的及时性和分析结果的准确性。因此,必须建立有效的反馈渠道,使失效分析工程师能够及时了解器件的失效情况以及分析进展。


微信扫码关注 CXOlab创芯在线检测实验室
相关阅读
五月芯资讯回顾:原厂涨价函不断,疫情影响供应链

刚刚过去的五月,全球多地疫情反弹,大宗商品涨价延续,IC产业链毫无意外,缺货涨价仍是主旋律。下面就来梳理一下过去的一个月,业内都有哪些值得关注的热点。

2021-06-04 11:16:00
查看详情
马来西亚管控延长,被动元件又悬了?

自五月以来,马来西亚疫情不断升温,每日新增确诊高峰曾突破9000例。严峻形势之下,马来西亚政府于6月1日开始执行为期半个月的全面行动管制。在这之后,每日新增病例呈现下降趋势。

2021-06-18 15:41:07
查看详情
内存市场翻转,涨价来袭!

据媒体近日报道,内存正在重回涨价模式,从去年12月到今年1月,涨幅最多的品种已达30%。据行情网站数据,各类内存条、内存颗粒在12月上旬起开始涨价,至今仍没有停止的意思。

2021-03-05 10:53:00
查看详情
被动元件涨价启动,MLCC和芯片打头阵

据台媒近日报道,MLCC两大原厂三星电机和TDK近期对一线组装厂客户发出通知,强调高容MLCC供货紧张,即将对其调涨报价。在芯片电阻市场,台厂国巨正式宣布从三月起涨价15-25%。紧接着,华新科也对代理商发出涨价通知,新订单将调涨10-15%。

2021-03-05 10:52:00
查看详情
深圳福田海关查获大批侵权电路板,共计超过39万个

据海关总署微信平台“海关发布”10日发布的消息,经品牌权利人确认,深圳海关所属福田海关此前在货运出口渠道查获的一批共计391500个印刷电路板,侵犯了UL公司的“RU”商标专用权。

2021-03-05 11:12:00
查看详情
可靠性测试:常规的可靠性项目及类型介绍

可靠性试验是对产品进行可靠性调查、分析和评价的一种手段。试验结果为故障分析、研究采取的纠正措施、判断产品是否达到指标要求提供依据。根据可靠性统计试验所采用的方法和目的,可靠性统计试验可以分为可靠性验证试验和可靠性测定试验??煽啃圆舛ㄊ匝槭俏舛煽啃蕴匦曰蚱淞恐刀龅氖匝椋ǔS美刺峁┛煽啃允???煽啃匝橹な匝槭怯美囱橹ど璞傅目煽啃蕴卣髦凳欠穹掀涔娑ǖ目煽啃砸蟮氖匝?,一般将可靠性鉴定和验收试验统称为可靠性验证试验。

2021-04-26 16:17:00
查看详情
产品进行可靠性测试的重要性及目的

产品在一定时间或条件下无故障地执行指定功能的能力或可能性。可通过可靠度、失效率还有平均无故障间隔等来评价产品的可靠性。而且这是一项重要的质量指标,只是定性描述就显得不够,必须使之数量化,这样才能进行精确的描述和比较。

2021-04-26 16:19:00
查看详情
汇总:半导体失效分析测试的详细步骤

失效分析是芯片测试重要环节,无论对于量产样品还是设计环节亦或是客退品,失效分析可以帮助降低成本,缩短周期。 常见的失效分析方法有Decap,X-RAY,IV,EMMI,FIB,SEM,EDX,Probe,OM,RIE等,因为失效分析设备昂贵,大部分需求单位配不了或配不齐需要的设备,因此借用外力,使用对外开放的资源,来完成自己的分析也是一种很好的选择。我们选择去外面测试时需要准备的信息有哪些呢?下面为大家整理一下:

2021-04-26 16:29:00
查看详情
芯片常用失效分析手段和流程

一般来说,集成电路在研制、生产和使用过程中失效不可避免,随着人们对产品质量和可靠性要求的不断提高,失效分析工作也显得越来越重要,通过芯片失效分析,可以帮助集成电路设计人员找到设计上的缺陷、工艺参数的不匹配或设计与操作中的不当等问题。芯片失效分析的常用方法不外乎那几个流程,最重要的还是要借助于各种先进精确的电子仪器。以下内容主要从这两个方面阐述,希望对大家有所帮助。

2021-04-26 16:41:00
查看详情
值得借鉴!PCB板可靠性测试方法分享

PCB电路板是电子元件的基础和高速公路,又称印刷电路板,是电子元器件电气连接的提供者。它的发展已有100多年的历史了;它的设计主要是版图设计;采用电路板的主要优点是大大减少布线和装配的差错,提高了自动化水平和生产劳动率。PCB的质量非常关键,要检查PCB的质量,必须进行多项可靠性测试。这篇文章就是对测试的介绍,一起来看看吧。

2021-04-26 16:47:42
查看详情