登录-栖凤楼论坛,威客小姐网全国楼凤,栖凤阁论坛官网入口,广州一品香论坛地址

随机振动试验是什么?振动测试检测标准及重要指标

日期:2021-07-27 18:21:00 浏览量:12259 标签: 随机振动试验 随机振动测试

随机振动是指一种振动波形杂乱、对未来任何一个给定时刻其瞬时值不能预先确定,其波形随时间的变化显示不出一定规律的振动,无法用确定性函数解释其规律。随机振动的单次试验结果有不确定性、不可预估性和不重复性,但相同条件下的多次试验结果却有内在的统计规律。而须用概率统计方法定量描述其运动规律。随机振动也是由正弦振动所组成的,但是这些正弦振动的频率不是离散的,而是在一定范围内连续分布,各个正弦振动的振幅大小与位移大小变化不可预测的会随时间变化,而是要用随机振动信号在一定时刻的平均值、均方值、概率密度函数、功率谱密度来表达。

随机振动试验的试验条件(严酷等级)是由试验频率范围(Hz)、功率谱密度(g2/Hz)、功率谱密度的频谱、总均方根加速度(Grms)、试验时间四个参数组成。

随机振动试验是什么?振动测试重要指标有哪些?

1.试验频率范围

范围频率范围是指产品安装平台的振动对产品产生有效激励的最高频率和最低频率之间的频率。典型的低频通常是取产品最低共振频率的一半或其安装平台产生明显振动的最低频率;典型的高频是产品最高共振频率的两倍或其安装平台产生明显振动的最高频率,或是可以有效地、机械地传递振动的最高频率。通常认为机械传递的振动的最高频率是取2000Hz,尽管实际上常常会更低。如果需要2000Hz以上的频率,通常需要用噪声来进行。

2.功率谱谱密度(g2/Hz)和功率谱密度的频谱

随机振动是以定义在相关频率范围内的PSD功率谱密度(ASD加速度谱密度)及功率谱谱密度的频谱的形式来表征。功率谱密度(加速度谱密度)是指单位频率上的能量,功率谱谱密度的频谱(加速度谱密度的频谱)是指振动能量在整个频率范围内的分布。

3.总均方根加速度(Grms)

总均方根加速度(Grms)值是功率谱谱密度的频谱在全频段范围内面积的积分,即方均根值,它不包含任何频率信息。因此Grms值通常用来进行试验误差控制与检测,以及根据试验样品的重量、体积、动态特性来选需多大推力(功率)的振动台。

4.试验时间

试验时间就是进行随机振动的持续时间,通常分为功能(性能)和强度(耐久)二种试验时间。对空中运载工具及空中运载工具上使用的设备,耐久试验的时间通常为功能试验时间的1.6倍。

影响振动试验的关键指标如下:

试验推力:试验推力对试验骑着决定性的作用,所需推力超过额定推力则试验不能进行,但是推力远远小于额定推力,容易造成资源浪费,

最大位移:随机振动试验时,从振动条件上看不出随机振动的最大位移,而其值也是不确定的,因此有必要在实验前估算最大位移,避免因超过行程而损坏振动台

加速度均方根值:它是表征随机振动总能量的统计参数。

频率范围:目前电磁振动台的频率多数可以达到3000HZ~5000HZ,基本可以满足绝大部分试验要求。

随机振动试验参数的估算:

目前随机振动试验采用最多的是宽带随机振动,根据试验样品给出的振动要求,计算试验量值,通过与振动台的极限值进行对比,估算试验能否进行。

随机振动试验需要顾及的有:随机振动推力和随机振动最大位移,随机振动一般给出功率谱密度与频率之间的关系曲线,如图所示,根据该曲线及相关计算公式既可计算出加速度均方根值。

随机振动试验是什么?振动测试重要指标有哪些?

加速度均方根值由曲线下总面积的和经过开根号运算得到,用以下公式表示:

2.jpg

式中,A1为升谱线所含面积,A2为平直谱曲线所含面积,A3为降谱曲线所含面积,图谱曲线所含面积通过谱密度函数在频率上进行积分算出。

试验推力计算公式:

随机振动试验是什么?振动测试重要指标有哪些?

式中,F为推力(N),m0为振动台运动部分有效质量(KG);m1为辅助台面质量(KG);m2为试样(包括夹具、安装螺钉)质量(KG);G为试验加速度。

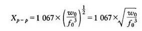
位移的计算公式:

准确的方法应该找出位移谱密度曲线,计算出均方根位移值,再用均方根位移算出最大峰值位移,在工程商往往只要估计一个大概的值,这里介绍一个简单的估算公式,通过估算的值比实际要大。

随机振动试验是什么?振动测试重要指标有哪些?

 式中,Xp-p为最大峰峰位移(mm),f0为下限频率(Hz);W0为下限频率(f0)处的功率谱密度值(g^2/Hz)。

注:该公式对平谱曲线适用,对有升降谱的曲线,可能造成计算值与实际值由较大的偏差。

振动试验通常依据的检测标准如下: 

电工电子产品环境试验 第2部分:试验方法 试验Fc和导则:振动(正弦)GB/T 2423.10-2008/IEC 60068-2-6:1995

电工电子产品环境试验 第2部分:试验方法 试验Fh:宽带随机振动(数字控制)和导则GB/T 2423.56-2006/IEC 60068-2-64:1993

电工电子产品环境试验 第2部分: 试验方法 试验Fi: 振动 混合模式GB/T 2423.58-2008/IEC 60068-2-80:2005

包装 运输包装件基本试验 第2部分:温湿度调节处理GB/T 4857.2-2005/ISO 2233:2000

汽车电气设备基本技术条件QC/T 413-2002

军用计算机通用规范GJB 322A-1998

军用通信设备通用规范 GJB 367A-2001

军用电子测试设备通用规范 GJB3947A-2009

轨道交通 机车车辆电子装置 GB/T 25119-2010/IEC 60571:2006

电子测量仪器通用规范 GB/T 6587-2012

微电子器件试验方法和程序 GJB 548B-2005

电子及电气元件试验方法 GJB 360B-2009

军用装备实验室环境试验方法 第16部分:振动试验》GJB 150.16A-2009

电子产品环境应力筛选方法GJB 1032-1990

舰船电子设备环境试验 振动试验 GJB 4.7-1983

铁路地面信号产品振动试验方法 TB/T 2846-1997

包装 运输包装件基本试验 第23部分:随机振动试验方法GB/T 4857.23-2012

轨道交通 机车车辆设备 冲击和振动试验GB/T21563-2008/IE 61373:1999

微信扫码关注 CXOlab创芯在线检测实验室
相关阅读
五月芯资讯回顾:原厂涨价函不断,疫情影响供应链

刚刚过去的五月,全球多地疫情反弹,大宗商品涨价延续,IC产业链毫无意外,缺货涨价仍是主旋律。下面就来梳理一下过去的一个月,业内都有哪些值得关注的热点。

2021-06-04 11:16:00
查看详情
马来西亚管控延长,被动元件又悬了?

自五月以来,马来西亚疫情不断升温,每日新增确诊高峰曾突破9000例。严峻形势之下,马来西亚政府于6月1日开始执行为期半个月的全面行动管制。在这之后,每日新增病例呈现下降趋势。

2021-06-18 15:41:07
查看详情
内存市场翻转,涨价来袭!

据媒体近日报道,内存正在重回涨价模式,从去年12月到今年1月,涨幅最多的品种已达30%。据行情网站数据,各类内存条、内存颗粒在12月上旬起开始涨价,至今仍没有停止的意思。

2021-03-05 10:53:00
查看详情
被动元件涨价启动,MLCC和芯片打头阵

据台媒近日报道,MLCC两大原厂三星电机和TDK近期对一线组装厂客户发出通知,强调高容MLCC供货紧张,即将对其调涨报价。在芯片电阻市场,台厂国巨正式宣布从三月起涨价15-25%。紧接着,华新科也对代理商发出涨价通知,新订单将调涨10-15%。

2021-03-05 10:52:00
查看详情
深圳福田海关查获大批侵权电路板,共计超过39万个

据海关总署微信平台“海关发布”10日发布的消息,经品牌权利人确认,深圳海关所属福田海关此前在货运出口渠道查获的一批共计391500个印刷电路板,侵犯了UL公司的“RU”商标专用权。

2021-03-05 11:12:00
查看详情
可靠性测试:常规的可靠性项目及类型介绍

可靠性试验是对产品进行可靠性调查、分析和评价的一种手段。试验结果为故障分析、研究采取的纠正措施、判断产品是否达到指标要求提供依据。根据可靠性统计试验所采用的方法和目的,可靠性统计试验可以分为可靠性验证试验和可靠性测定试验??煽啃圆舛ㄊ匝槭俏舛煽啃蕴匦曰蚱淞恐刀龅氖匝?,通常用来提供可靠性数据。可靠性验证试验是用来验证设备的可靠性特征值是否符合其规定的可靠性要求的试验,一般将可靠性鉴定和验收试验统称为可靠性验证试验。

2021-04-26 16:17:00
查看详情
产品进行可靠性测试的重要性及目的

产品在一定时间或条件下无故障地执行指定功能的能力或可能性。可通过可靠度、失效率还有平均无故障间隔等来评价产品的可靠性。而且这是一项重要的质量指标,只是定性描述就显得不够,必须使之数量化,这样才能进行精确的描述和比较。

2021-04-26 16:19:00
查看详情
汇总:半导体失效分析测试的详细步骤

失效分析是芯片测试重要环节,无论对于量产样品还是设计环节亦或是客退品,失效分析可以帮助降低成本,缩短周期。 常见的失效分析方法有Decap,X-RAY,IV,EMMI,FIB,SEM,EDX,Probe,OM,RIE等,因为失效分析设备昂贵,大部分需求单位配不了或配不齐需要的设备,因此借用外力,使用对外开放的资源,来完成自己的分析也是一种很好的选择。我们选择去外面测试时需要准备的信息有哪些呢?下面为大家整理一下:

2021-04-26 16:29:00
查看详情
芯片常用失效分析手段和流程

一般来说,集成电路在研制、生产和使用过程中失效不可避免,随着人们对产品质量和可靠性要求的不断提高,失效分析工作也显得越来越重要,通过芯片失效分析,可以帮助集成电路设计人员找到设计上的缺陷、工艺参数的不匹配或设计与操作中的不当等问题。芯片失效分析的常用方法不外乎那几个流程,最重要的还是要借助于各种先进精确的电子仪器。以下内容主要从这两个方面阐述,希望对大家有所帮助。

2021-04-26 16:41:00
查看详情
值得借鉴!PCB板可靠性测试方法分享

PCB电路板是电子元件的基础和高速公路,又称印刷电路板,是电子元器件电气连接的提供者。它的发展已有100多年的历史了;它的设计主要是版图设计;采用电路板的主要优点是大大减少布线和装配的差错,提高了自动化水平和生产劳动率。PCB的质量非常关键,要检查PCB的质量,必须进行多项可靠性测试。这篇文章就是对测试的介绍,一起来看看吧。

2021-04-26 16:47:42
查看详情